All inferences on everyday sounds

Click the cochleagrams in the figures to hear the corresponding sound.

00691

00691 Observed sound Synthesized scene Premixture clip 1 Inferred source 1 Premixture clip 2 Inferred source 2 Premixture clip 3 Inferred source 3

Back to top.

00941

00941 Observed sound Synthesized scene Premixture clip 1 Inferred source 1 Premixture clip 2 Inferred source 2 Premixture clip 3 Inferred source 3

Back to top.

02163

02163 Observed sound Synthesized scene Premixture clip 1 Inferred source 1 Premixture clip 2 Inferred source 2 Premixture clip 3 Inferred source 3

Back to top.

02282

02282 Observed sound Synthesized scene Premixture clip 1 Inferred source 1 Premixture clip 2 Inferred source 2 Premixture clip 3 Inferred source 3

Back to top.

02387

02387 Observed sound Synthesized scene Premixture clip 1 Inferred source 1 Premixture clip 2 Inferred source 2 Premixture clip 3 Inferred source 3

Back to top.

02679

02679 Observed sound Synthesized scene Premixture clip 1 Inferred source 1 Premixture clip 2 Inferred source 2 Premixture clip 3 Inferred source 3

Back to top.

03290

03290 Observed sound Synthesized scene Premixture clip 1 Inferred source 1 Premixture clip 2 Inferred source 2 Premixture clip 3 Inferred source 3

Back to top.

03441

03441 Observed sound Synthesized scene Premixture clip 1 Inferred source 1 Premixture clip 2 Inferred source 2 Premixture clip 3 Inferred source 3

Back to top.

03533

03533 Observed sound Synthesized scene Premixture clip 1 Inferred source 1 Premixture clip 2 Inferred source 2 Premixture clip 3 Inferred source 3

Back to top.

03918

03918 Observed sound Synthesized scene Premixture clip 1 Inferred source 1 Premixture clip 2 Inferred source 2 Premixture clip 3 Inferred source 3

Back to top.

04122

04122 Observed sound Synthesized scene Premixture clip 1 Inferred source 1 Premixture clip 2 Inferred source 2 Premixture clip 3 Inferred source 3

Back to top.

04461

04461 Observed sound Synthesized scene Premixture clip 1 Inferred source 1 Premixture clip 2 Inferred source 2 Premixture clip 3 Inferred source 3

Back to top.

05240

05240 Observed sound Synthesized scene Premixture clip 1 Inferred source 1 Premixture clip 2 Inferred source 2 Premixture clip 3 Inferred source 3

Back to top.

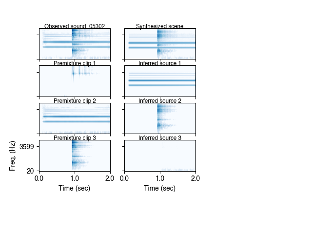
05302

05302 Observed sound Synthesized scene Premixture clip 1 Inferred source 1 Premixture clip 2 Inferred source 2 Premixture clip 3 Inferred source 3

Back to top.

05627

05627 Observed sound Synthesized scene Premixture clip 1 Inferred source 1 Premixture clip 2 Inferred source 2 Premixture clip 3 Inferred source 3

Back to top.

06037

06037 Observed sound Synthesized scene Premixture clip 1 Inferred source 1 Premixture clip 2 Inferred source 2 Premixture clip 3 Inferred source 3

Back to top.

06246

06246 Observed sound Synthesized scene Premixture clip 1 Inferred source 1 Premixture clip 2 Inferred source 2 Premixture clip 3 Inferred source 3

Back to top.

07012

07012 Observed sound Synthesized scene Premixture clip 1 Inferred source 1 Premixture clip 2 Inferred source 2 Premixture clip 3 Inferred source 3

Back to top.

07704

07704 Observed sound Synthesized scene Premixture clip 1 Inferred source 1 Premixture clip 2 Inferred source 2 Premixture clip 3 Inferred source 3

Back to top.

07877

07877 Observed sound Synthesized scene Premixture clip 1 Inferred source 1 Premixture clip 2 Inferred source 2 Premixture clip 3 Inferred source 3

Back to top.

08131

08131 Observed sound Synthesized scene Premixture clip 1 Inferred source 1 Premixture clip 2 Inferred source 2 Premixture clip 3 Inferred source 3

Back to top.

08352

08352 Observed sound Synthesized scene Premixture clip 1 Inferred source 1 Premixture clip 2 Inferred source 2 Premixture clip 3 Inferred source 3

Back to top.

08526

08526 Observed sound Synthesized scene Premixture clip 1 Inferred source 1 Premixture clip 2 Inferred source 2 Premixture clip 3 Inferred source 3

Back to top.

08742

08742 Observed sound Synthesized scene Premixture clip 1 Inferred source 1 Premixture clip 2 Inferred source 2 Premixture clip 3 Inferred source 3

Back to top.

08752

08752 Observed sound Synthesized scene Premixture clip 1 Inferred source 1 Premixture clip 2 Inferred source 2 Premixture clip 3 Inferred source 3

Back to top.

08922

08922 Observed sound Synthesized scene Premixture clip 1 Inferred source 1 Premixture clip 2 Inferred source 2 Premixture clip 3 Inferred source 3

Back to top.

09123

09123 Observed sound Synthesized scene Premixture clip 1 Inferred source 1 Premixture clip 2 Inferred source 2 Premixture clip 3 Inferred source 3

Back to top.

09225

09225 Observed sound Synthesized scene Premixture clip 1 Inferred source 1 Premixture clip 2 Inferred source 2 Premixture clip 3 Inferred source 3

Back to top.

09961

09961 Observed sound Synthesized scene Premixture clip 1 Inferred source 1 Premixture clip 2 Inferred source 2 Premixture clip 3 Inferred source 3

Back to top.

10088

10088 Observed sound Synthesized scene Premixture clip 1 Inferred source 1 Premixture clip 2 Inferred source 2 Premixture clip 3 Inferred source 3

Back to top.

10413

10413 Observed sound Synthesized scene Premixture clip 1 Inferred source 1 Premixture clip 2 Inferred source 2 Premixture clip 3 Inferred source 3

Back to top.

11042

11042 Observed sound Synthesized scene Premixture clip 1 Inferred source 1 Premixture clip 2 Inferred source 2 Premixture clip 3 Inferred source 3

Back to top.

11471

11471 Observed sound Synthesized scene Premixture clip 1 Inferred source 1 Premixture clip 2 Inferred source 2 Premixture clip 3 Inferred source 3

Back to top.

13263

13263 Observed sound Synthesized scene Premixture clip 1 Inferred source 1 Premixture clip 2 Inferred source 2 Premixture clip 3 Inferred source 3

Back to top.

13537

13537 Observed sound Synthesized scene Premixture clip 1 Inferred source 1 Premixture clip 2 Inferred source 2 Premixture clip 3 Inferred source 3

Back to top.

13634

13634 Observed sound Synthesized scene Premixture clip 1 Inferred source 1 Premixture clip 2 Inferred source 2 Premixture clip 3 Inferred source 3

Back to top.

13640

13640 Observed sound Synthesized scene Premixture clip 1 Inferred source 1 Premixture clip 2 Inferred source 2 Premixture clip 3 Inferred source 3

Back to top.

15246

15246 Observed sound Synthesized scene Premixture clip 1 Inferred source 1 Premixture clip 2 Inferred source 2 Premixture clip 3 Inferred source 3

Back to top.

16552

16552 Observed sound Synthesized scene Premixture clip 1 Inferred source 1 Premixture clip 2 Inferred source 2 Premixture clip 3 Inferred source 3

Back to top.

16821

16821 Observed sound Synthesized scene Premixture clip 1 Inferred source 1 Premixture clip 2 Inferred source 2 Premixture clip 3 Inferred source 3

Back to top.

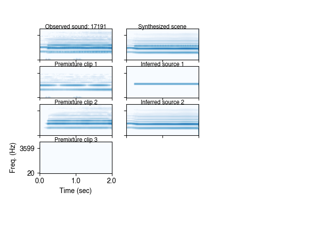
17191

17191 Observed sound Synthesized scene Premixture clip 1 Inferred source 1 Premixture clip 2 Inferred source 2 Premixture clip 3 Inferred source 3

Back to top.

17329

17329 Observed sound Synthesized scene Premixture clip 1 Inferred source 1 Premixture clip 2 Inferred source 2 Premixture clip 3 Inferred source 3

Back to top.

18131

18131 Observed sound Synthesized scene Premixture clip 1 Inferred source 1 Premixture clip 2 Inferred source 2 Premixture clip 3 Inferred source 3

Back to top.

18207

18207 Observed sound Synthesized scene Premixture clip 1 Inferred source 1 Premixture clip 2 Inferred source 2 Premixture clip 3 Inferred source 3

Back to top.

18424

18424 Observed sound Synthesized scene Premixture clip 1 Inferred source 1 Premixture clip 2 Inferred source 2 Premixture clip 3 Inferred source 3

Back to top.

18504

18504 Observed sound Synthesized scene Premixture clip 1 Inferred source 1 Premixture clip 2 Inferred source 2 Premixture clip 3 Inferred source 3

Back to top.

18930

18930 Observed sound Synthesized scene Premixture clip 1 Inferred source 1 Premixture clip 2 Inferred source 2 Premixture clip 3 Inferred source 3

Back to top.

19361

19361 Observed sound Synthesized scene Premixture clip 1 Inferred source 1 Premixture clip 2 Inferred source 2 Premixture clip 3 Inferred source 3

Back to top.

19648

19648 Observed sound Synthesized scene Premixture clip 1 Inferred source 1 Premixture clip 2 Inferred source 2 Premixture clip 3 Inferred source 3

Back to top.

19721

19721 Observed sound Synthesized scene Premixture clip 1 Inferred source 1 Premixture clip 2 Inferred source 2 Premixture clip 3 Inferred source 3

Back to top.